SISTEM
PERSAMAAN LINIER
Kebanyakan
model ekonomi yang berbentuk matematis mempunyai lebih dari satu kendala dan
variabel dalam himpunan persamaannya. Himpunan persamaan-persamaan linier ini
disebut sistem persamaan linier
Terdapat
tiga kemungkinan penyelesaian sistem persamaan linier:
1. Ada penyelesaian tunggal (unik)
2. Tidak ada penyelesaian
3. Sejumlah penyelesaian yang tidak
terbatas.
SISTEM PERSAMAAN LINEAR DUA VARIABEL
(SPLDV)
Pasangan dua
persamaan linear dua variabel (atau lebih) yang ekuivalen dengan bentuk umum
Penyelesaian
Sistem Persamaan Linier
Adalah sekumpulan persamaan linier yang terdiri dari beberapa variable.
•
Metode Grafik
Metode grafik dapat digunakan untuk pemecahan masalah linier
yang hanya memiliki 2 variabel.
Perhatikan dua sistem persamaan dua variable
Solusi dari sistem ini adalah himpunan pasangan terurut yang
merupakan solusi dari kedua persamaan.
Grafik garis menunjukkan himpunan penyelesaian dari
masing-masing persamaan dalam sistem. Oleh karena itu, perpotongan kedua garis
adalah gambar dari penyelesaian sistem.
Solusi dari sistem adalah
Hubungan yang mungkin diantara sebuah sistem, kemiringan
dari masing masing grafik, dan penyelesaian persamaan ditunjukkan pada table
berikut.
Dengan a,b,c,d,p,q, ∈R
dan a,b,c,d ≠0
|
Sistem
|
Kemiringan
|
Grafik
|
Penyelesaian
|
Konsisten
dan bebas
|
Berbeda
|
Garis
berpotongan di satu titik
|
Satu
|
| Inkonsistent dan bebas atau berlawanan |
Sama
|
Garis
sejajar
|
Tidak ada
|
Konsisten
dan bergantungan
|
Sama
|
Garis
berimpit
|
Tak
terhingga
|
•
Metode Substitusi
Adalah metode penyelesaian SPLDV dengan cara menggantikan
satu variabel dengan variabel dari persamaan yang lain
Langkah-langkah
1.
Pilih
salah satu persamaan yang paling sederhana kemudian nyatakan x sebagai
fungsi y atau y sebagai fungsi x
2.
Substitusikan
x atau y pada langkah 1 ke persamaan yang lainnya
•
Metode Eliminasi
Adalah metode penyelesaian SPLDV dengan cara menghilangkan
salah satu variabel.
Langkah-langkah
1.
Perhatikan
koefisien x (atau y)
a) Jika koefisiennya sama:
Lakukan operasi pengurangan untuk tanda yang sama
Lakukan operasi penjumlahan untuk tanda yang berbeda
b) Jika koefisiennya berbeda, samakan
koefisiennya dengan cara mengalikan persamaan-persamaan dengan konstanta yang
sesuai, lalu lakukan seperti langkah a)
2.
Lakukan
kembali langkah 1 untuk mengeliminasi variabel lainnya.
•
Metode Matriks (Optional)
Sebuah matriks adalah sebuah susunan segi empat siku-siku
dari bilangan-bilangan yang disebut entri. Metode matriks dapat digunakan untuk
mempermudah dalam menentukan penyelesaian sistem persamaan linier.
Persamaan Ketergantungan
Linier dan Ketidakkonsistenan
Bila kedua persamaan mempunyai kemiringan (slope) yang sama,
maka gambarnya akan terdapat dua kemungkinan yaitu:
- Kedua garis adalah sejajar dan tidak mempunyai titik potong, sehingga tidak ada penyelesaian. Kedua persamaan ini disebut sebagai sistem persamaan linier yang tidak konsisten
- Kedua garis akan berhimpit, sehingga penyelesainnya dalam jumlah yang tidak terbatas. Kedua persamaan ini disebut sebagai sistem persamaan linier yang tergantung secara linier
Contoh metode subtitusi
Tentukan penyelesaian dari system persamaan 3x + y = 5 dan 2x
+ 3y = 8
Jawab
3x + y = 5 → y = -3x + 5
2x + 3y = 8
2x + 3(-3x + 5) =
8
2x – 9x + 15 = 8
2x – 9x = 8
– 15
-7x =
-7
x =
1
y = -3x + 5
y = -3(1) + 5
y = -3 + 5
y = 2
jadi penyelesaian system persamaan adalah x = 1 dan y = 2
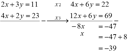
Contoh metode eliminasi
Tentukan penyelesaian dari system persamaan 2x + 3y = 11 dan
4x + 2y = 23
Jawab
Subsitutusikan nilai x = -39 ke persamaan
Jadi penyelesaian system persamaaan adalah x = -39 dan y =
29,67






Post a Comment
Post a Comment